近期,收到留言,問干細胞能治療哪些疾病,哪些醫院在開展干細胞治療,以及干細胞新藥申報的進展問題。還有問近年來,干細胞公司如同雨后春筍般,感覺公司魚龍混雜。甚至有些以前從事美容、金融或者養生保健的,也轉行成為了干細胞的推廣員,面對這種情況,作為消費者,我們應該如何判斷哪家干細胞公司是值得信賴的呢?
今天,我就來和大家探討一下這個問題。在我國,干細胞的監管實行“雙軌制”,即藥品和醫療技術管理并行的監管模式。簡單來說,就是有兩條線路進行監管。

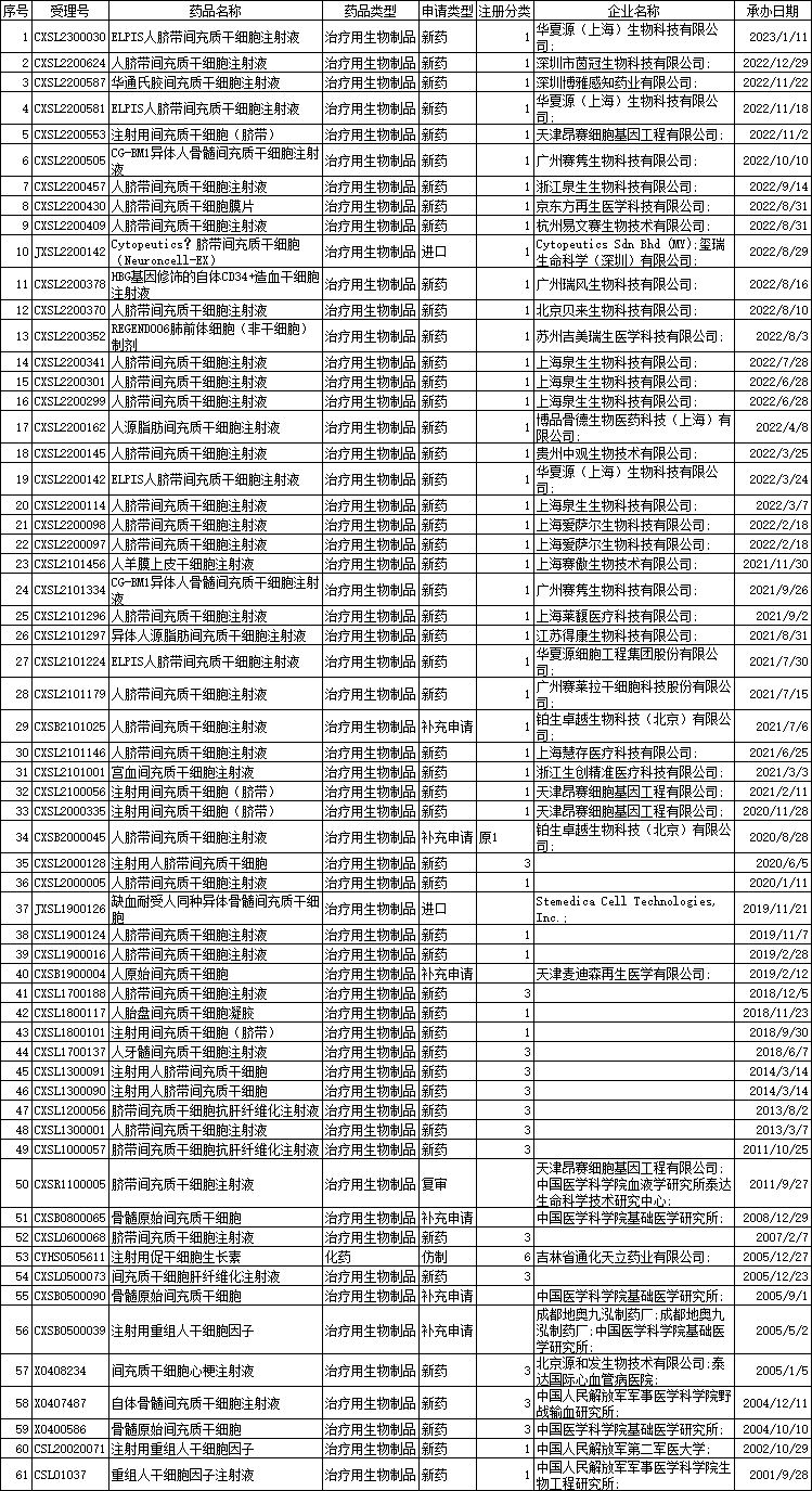
第一條線:是干細胞藥物。許多干細胞公司選擇走這條路線,即申請干細胞新藥批文。目前已有超過70個IND(臨床試驗申請)獲得批準,這些都是走的這條路線。

這條路線的主管單位是國家食品藥品監督管理總局(NMPA),也就是由國務院直屬機構,市場監督管理總局來管理。如果要申請干細胞藥物,必須在IND獲批后,陸續進行一期、二期、三期臨床試驗,最后拿到新藥上市批文,按藥品投放市場。這條路線雖然費時費錢,但也是最為嚴謹的一條路線。在行業內,有一條不成文的規則,“10年10億美金,才能可能拿到一個新藥”,這也解釋了為什么一些新特藥如此昂貴。例如,幾年前的電影《我不是藥神》中,諾華的格列衛用于治療白血病,但因為價格過高,電影主角就到印度引進仿制藥,以低價銷售給白血病患者。
第二條線:是干細胞醫療技術。由于干細胞的特殊性,以及在國內外的研究已有數十年的歷史,大量的臨床研究表明,其安全性非常好,至少是可控的。而在治療疾病的效果方面,干細胞在很多疾病方面都表現出了非常不錯的效果。然而,由于其生效機理的復雜性,短時間內可能無法完全適應原有的藥物審核流程。比如,干細胞的旁分泌效應、歸巢效應,以及其他一些作用機制等,都不太適合用原有的藥物審核流程來監管。因此,我們的主管部門以讓優秀的科研技術能更早地造福大眾為原則,開放醫療機構在衛生健康委和藥品監督管理局聯合管理的秘書處申請機構和項目雙備案,并在備案項目范圍內開展干細胞臨床研究。這條線相當于由兩個部門聯合進行監管。例如,2016年5月,首批干細胞臨床研究機構名單(30家醫院)發布,后來在2017年11月23日,第二批又批準了72家醫院,目前已有102家醫院獲得了許可。截至目前,中國已有133家研究機構(含軍隊醫院22家)通過了干細胞臨床研究機構的備案,備案項目達100個。已有都是由這二個部門聯合批準的。
實際操作上,雖然具體項目的實施是在具有臨床研究資質的醫院和科室進行,但干細胞制劑制備很少有醫院自己開展,基本上是由合作的細胞公司或細胞制備工廠來完成干細胞制劑的制備,然后按醫療技術來進行應用。這也就給了干細胞公司更多的應用機會。
當然:無論選擇哪條路線,國家對干細胞制劑的要求都極為嚴格。具體來說,干細胞制劑必須符合《干細胞制劑質量控制及臨床前研究指導原則》、《人源化干細胞藥學工藝技術指導原則》、《GMP附錄-細胞治療產品》等相關法律法規的要求。因此,當我們在選擇干細胞公司時,可以參考以下幾個標準:
1、B+A級潔凈度:干細胞制備必須在完全無菌的環境下進行,這對實驗室和生產設施的環境要求極高。根據國家規定,細胞治療產品的生產必須在B+A級潔凈度的實驗室或生產車間中進行。
2、中檢院質量復核認定:中國食品藥品檢定研究院(簡稱“中檢院”)是國家法定的生物制品藥品質量檢驗機構,也是三甲醫院唯一認可的臨床級細胞檢驗機構。如果一家公司獲得了中檢院的細胞質量復核認定,那就說明其干細胞質量已經達到了臨床級別。
延伸閱讀:獲批中檢院干細胞質量報告機構及分布情況
3、醫院合作認可:大多數的干細胞臨床研究項目是由干細胞公司與醫院合作進行的,因此,查看這家公司是否與知名醫院有合作關系,也是判斷其實力的一個重要依據。(例如:通過中國臨床試驗注冊中心、或一些招投標網能查)。
4、IND批件:最后,最直接的判斷方法就是看這家單位是否有干細胞臨床試驗申請(IND)批件,以及是否已經獲得了臨床試驗的批準。(通過www.cde.org.cn,信息公開欄能查到)
總的來說,干細胞治療的發展前景廣闊,但消費者在選擇干細胞服務公司時,也需要有明確的認知,選擇靠譜的公司,以確保治療的安全和有效。
參考文獻:
1、20160530100915671.doc (live.com)2、國家衛生和計劃生育委員會 國家食品藥品監督管理總局關于第二批干細胞臨床研究備案機構的公告(2017年第12號) (nmpa.gov.cn)
3、國家藥品監督管理局藥品審評中心 (cde.org.cn)
免責說明:本文僅用于傳播科普知識,分享行業觀點,不構成任何臨床診斷建議!杭吉干細胞所發布的信息不能替代醫生或藥劑師的專業建議。如有版權等疑問,請隨時聯系我。
掃碼添加官方微信