2021年3月4日,國際知名學術期刊《STEM CELLS Translational Medicine》在線發表了,中山大學施松濤教授、海軍軍醫大學第一附屬醫院黃勤教授等研究者完成的一篇題為“人類脫落乳牙干細胞輸注至2型糖尿病患者的治療潛力取決于基礎脂質水平和胰島功能”的臨床研究論文。[1]

研究表明,人脫落乳牙干細胞移植可改善常規注射胰島素的2型糖尿病患者的血糖和血脂水平。此外,人脫落乳牙干細胞移植可部分改善胰島β細胞功能,并顯著減少每日胰島素劑量,12個月隨訪后發現3名患者可停止注射胰島素。
什么是2型糖尿病?
2型糖尿病(T2DM)是一組因胰島素絕對或相對分泌不足和(或)胰島素利用障礙引起的碳水化合物、蛋白質、脂肪代謝紊亂性疾病,以高血糖為主要標志。
2型糖尿病(T2DM)占所有糖尿病病例的90%以上。盡管其發病機制尚未完全闡明,但β細胞的功能障礙在其發生、發展中起著關鍵作用。現有的降糖藥物,包括胰島素,主要用于控制高血糖和延緩并發癥的發展,但并不能有效逆轉胰島β細胞的進行性減少及衰竭。
因此尋找促進胰島β細胞再生,恢復內源性胰島素分泌可能是治愈糖尿病的理想方法。

什么是人類脫落乳牙干細胞?
來源于成人牙齒(牙髓干細胞 [DPSC])或乳牙(人脫落乳牙干細胞 [SHED])的牙髓間充質干細胞具有形成細胞集落的能力,并表現出強大的增殖能力。
據報道[2],培養的DPSC和SHED可以誘導形成胰島細胞簇 (ICC),并表達胰腺標志物并對二硫腙染色呈陽性,同時以葡萄糖依賴性方式分泌胰島素和C肽。研究發現,[3]移植SHED衍生的ICC可以挽救糖尿病小鼠的血糖水平。此外,先前的研究表明SHED對治療2型糖尿病大鼠有效,其機制與改善胰島 β 細胞和肝臟代謝有關。[4]
盡管SHED和DPSC在臨床應用中具有資源豐富、易獲取、副作用發生率低、不存在倫理爭議等諸多優勢,但目前尚無研究證實SHED或DPSC治療糖尿病的臨床療效。
本研究旨在評估同種異體人脫落乳牙干細胞移植對2型糖尿病患者的安全性和有效性,并評估影響人脫落乳牙干細胞療效的潛在因素。
干細胞療法顯成效:24名2型糖尿病患者中3人擺脫胰島素依賴!
本研究分為篩選期、治療期和隨訪期。篩選期為1周,符合條件的患者在篩選后1周內入組。2018年5月至8月,上海長海醫院內分泌科共納入24例2型糖尿病患者。
納入標準:(a)年齡在45至65歲之間,體質指數在20至30 kg/m2之間。2型糖尿病病程超過5年,患者能夠理解臨床試驗目的,自愿參加,并簽署知情同意書。
方法:患者在42天的治療期內接受3次人脫落乳牙干細胞(SHED)靜脈輸注,第一次輸注在入組時安排,第二次和第三次輸注分別安排在第一次輸注后1周和4周。SHED由CAR-T(上海)生物技術有限公司提供,干細胞制備符合干細胞制劑質量監督與臨床前研究指導原則的相關規定。

結果
1.代謝指標
- 治療期間,患者的GSP水平與基線水平相比顯著降低。治療結束一個月后,GSP水平也顯著低于基線水平,與治療結束時的數值相似(圖1A)。
- 療結束后2周,與基線水平相比,HbA1c水平也顯著降低。HbA1c的這種降低一直維持到第三次隨訪(第三次SHED輸注后12周)。此后,直至隨訪結束,HbA1c水平仍然低于基線水平(圖1B)。
- 治療期間,FBG水平顯著低于基線水平,隨后呈上升趨勢,與基線水平相比沒有統計學差異(圖1C)。
- 患者自我監測的空腹CBG值在隨訪期間略有波動,但無統計學差異(圖1D)。

饅頭餐試驗是檢測糖吸收的能力是否正常,判斷是否有胰島功能的不正常,幫助診斷糖尿病。
- 分別于第一次SHED輸注前、治療期結束時以及第三次SHED輸注后3、6、9和12個月進行饅頭餐測試。治療期結束時和隨訪期間,餐后1和2小時血糖水平均低于基線水平,并在治療期結束后3個月達到最低水平。
- SHED移植導致空腹C肽(FCP)水平升高,但差異無統計學意義(圖2B)。
- 治療期結束時,餐后2小時測得的C肽(P2hCP)水平顯著高于基線水平,此后呈下降趨勢,但在隨訪期結束時仍高于基線水平(圖2B)
- HOMA-IR在治療期結束時和隨訪期間均高于基線水平(圖2C)

- SHED移植后TC、LDL-C水平逐漸下降,第2次、第3次SHED移植后2周與基線水平相比差異均有統計學意義。(圖3)
- 血TG水平在觀察期間無明顯變化(圖3)。
- ALT、AST、eGFR、SCr水平在正常基線范圍內,隨訪期間無明顯變化。

2.治療效果
共有22例患者完成了研究,研究者通過患者信息評估患者每日胰島素使用量。結果顯示:(圖4A)
- 治療期間患者每日胰島素劑量明顯減少,治療結束時與基線相比減少了35.34%。
- 在隨訪期間,患者每日胰島素劑量進一步減少,與基線水平相比,治療期結束后3、6、9個月患者每日胰島素劑量分別減少了51.18%、43.39%、39.39%。此后劑量相對穩定,未見明顯減少。
每日胰島素注射劑量是本研究的主要療效評價標準。(圖4B)
- 治療期結束時總有效率86.36%(19/22)。(圖4B)
- 2例患者在治療期間停止注射胰島素,治療期結束后6個月的總有效率81.82%(18/22)。
- 另有1例患者在隨訪期間停止注射胰島素,截至研究結束時,總有效率68.18%(15/22),其中3例患者停止注射胰島素。
- 其余4例患者的胰島素注射頻率亦較治療前減少。

3.相關性分析
通過數據分布圖確定各指標閾值后,進行初期及終點雙因素相關性分析。結果顯示:
- 干細胞移植前血糖水平與療效具有相關性,入選患者HbA1c<8.5%治療后,每日胰島素劑量明顯減少(圖5A)。
- 患者治療前胰島功能狀態與治療后胰島功能恢復程度密切相關,FCP>1.7 ng/mL、P2hCP>3 ng/mL患者治療后胰島功能恢復較好(圖5B、C)。
- 此外,干細胞治療前TC<5mmol/L或TG≤1.5mmol/L或LDL-C<3.2 mmol/L的患者,每日胰島素劑量明顯減少(圖5D-F)。

4.不良反應
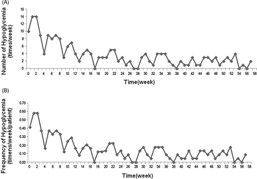
低血糖是研究期間最常見的不良事件。所有24例患者的低血糖發生頻率在治療期間均增加,達到峰值0.51次/周/例。在隨訪期間,所有22例患者的低血糖發生頻率均明顯降低。SHED移植后6個月,低血糖平均發生頻率約為0.09次/周/例,與治療前水平相似(圖6A,B)。

討論
既往研究表明,干細胞治療可有效控制2型糖尿病患者的血糖水平,改善患者的高血糖狀態。多中心數據顯示,干細胞移植顯著降低HbA1c,但對FBG無影響。
本研究發現人脫落乳牙干細胞(SHED)移植后GSP和HbA1c水平均明顯改善,尤其治療期和隨訪前3個月的HbA1c水平與基線水平相比明顯降低,提示SHED可在相對較長的時間內有效改善胰島β細胞功能和血糖水平,與既往報道一致。總體而言,MSC治療后HbA1c改善水平較難維持,可能與MSC來源、劑量、移植頻率以及受者免疫微環境等多種因素有關,其詳細機制有待進一步研究。
目前尚無標準方法確定干細胞治療糖尿病的療效,本研究以胰島素日劑量作為評價干細胞治療療效的主要指標。
結果顯示,患者胰島素日劑量從治療開始時逐漸減少,并在治療結束后3個月達到最低水平。在1年的隨訪結束時,仍在使用胰島素的患者胰島素日劑量仍僅為基線水平的60.63%,3例患者已完全停止注射胰島素。治療結束時總有效率是86.36%,1年隨訪時總有效率是68.18%,提示SHED的治療效果可以維持較長時間。治療期間GSP和HbA1c水平明顯下降,提示糖代謝有潛在的改善作用。
未來展望
本研究為概念驗證研究,已揭示了一定的治療效果,需要進一步了解干細胞介導的糖尿病治療的具體機制以提高療效。因此,本研究的重要發現之一是顯示血脂水平影響SHED治療2型糖尿病的結果,這將為未來改進人脫落乳牙干細胞(SHED)治療提供線索。
此外,在未來的研究中應調整SHED輸注的劑量和頻率,以保證糖尿病慢性情況下的長期SHED療效。但最佳治療方法,特別是輸注劑量、療程、適應人群和長期療效,需要通過大規模和長期的臨床和基礎研究來確定。
結論
綜上所述,人脫落乳牙干細胞移植可改善常規注射胰島素的2型糖尿病患者的血糖和血脂水平。此外,人脫落乳牙干細胞移植可部分改善胰島β細胞功能,并顯著減少每日胰島素劑量,部分患者可停止注射胰島素。
相關閱讀:想要了解更多關于干細胞治療2型糖尿病的新聞資請點擊這里!
[1]Wenwen Li, Xuan Jiao, Jingyun Song, Bingdong Sui, Zhili Guo, Yingji Zhao, Jun Li, Songtao Shi, Qin Huang, Therapeutic Potential of Stem Cells from Human Exfoliated Deciduous Teeth Infusion into Patients with Type 2 Diabetes Depends on Basal Lipid Levels and Islet Function, Stem Cells Translational Medicine, Volume 10, Issue 7, July 2021, Pages 956–967, https://doi.org/10.1002/sctm.20-0303
[2]GronthosS , MankaniM , BrahimJ , et al. Postnatal human dental pulp stem cells (DPSCs) in vitro and in vivo. Proc Natl Acad Sci USA. 2000;9725:13625-13630.
[3]GovindasamyV , RonaldVS , AbdullahAN , et al. Differentiation of dental pulp stem cells into islet-like aggregates. J Dent Res. 2011;90:646-652.
[4]KanafiMM , RajeshwariYB , GuptaS , et al. Transplantation of islet-like cell clusters derived from human dental pulp stem cells restores normoglycemia in diabetic mice. Cytotherapy. 2013;15:1228-1236.
免責說明:本文僅用于傳播科普知識,分享行業觀點,不構成任何臨床診斷建議!杭吉干細胞所發布的信息不能替代醫生或藥劑師的專業建議。
版權說明:本文來自杭吉干細胞科技內容團隊,歡迎個人轉發至朋友圈,謝絕媒體或機構未經授權以任何形式轉載至其他平臺,轉載授權請在網站后臺下方留言獲取。
掃碼添加官方微信